Leetcode_hot100_25.K个一组翻转链表

题目要求

  • 给你链表的头节点 head ,每 k 个节点一组进行翻转,请你返回修改后的链表。

  • k 是一个正整数,它的值小于或等于链表的长度。如果节点总数不是 k 的整数倍,那么请将最后剩余的节点保持原有顺序。

  • 你不能只是单纯的改变节点内部的值,而是需要实际进行节点交换。

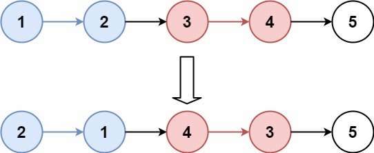
示例 1:

输入:head = [1,2,3,4,5], k = 2
输出:[2,1,4,3,5]

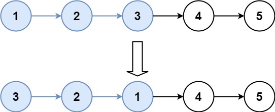
示例 2:

输入:head = [1,2,3,4,5], k = 3
输出:[3,2,1,4,5]

参考反转链表

反转链表【基础算法精讲 06】

1
2
3
4
5
6
7
8
9
10
11
12
13
14
15
16
17
18
19
20
21
22
23
24
25
26
27
28
29
30
31
32
33
34
35
36
37
38
39
40
41
42
43
44
45
/**
* Definition for singly-linked list.
* public class ListNode {
* int val;
* ListNode next;
* ListNode() {}
* ListNode(int val) { this.val = val; }
* ListNode(int val, ListNode next) { this.val = val; this.next = next; }
* }
*/
class Solution {
public ListNode reverseKGroup(ListNode head, int k) {
ListNode dummy = new ListNode(0, head);
ListNode p0 = dummy;
ListNode cur = head;
int len = 0;
while (cur != null) {
cur = cur.next;
len++;
}

int m = len / k;

// 反转前k个
ListNode pre = null;
ListNode nxt = null;
for (int i = 0; i < m; i++){
pre = null;
cur = p0.next;
for (int j = 0; j < k; j++) {
nxt = cur.next;
cur.next = pre;
pre = cur;
cur = nxt;
}

nxt = p0.next;
p0.next.next = cur;
p0.next = pre;
p0 = nxt;
}

return dummy.next;
}
}
  • 时间复杂度:O(n)O(n)
  • 空间复杂度:O(1)O(1)