Leetcode 337.打家劫舍III
Leetcode 337.打家劫舍III
题目要求
-
小偷又发现了一个新的可行窃的地区。这个地区只有一个入口,我们称之为 root 。
-
除了 root 之外,每栋房子有且只有一个“父“房子与之相连。一番侦察之后,聪明的小偷意识到“这个地方的所有房屋的排列类似于一棵二叉树”。 如果 两个直接相连的房子在同一天晚上被打劫 ,房屋将自动报警。
-
给定二叉树的 root 。返回 在不触动警报的情况下 ,小偷能够盗取的最高金额 。
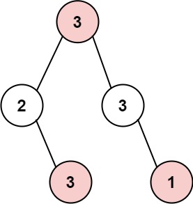
示例1:

输入: root = [3,2,3,null,3,null,1]
输出: 7
解释: 小偷一晚能够盗取的最高金额 3 + 3 + 1 = 7
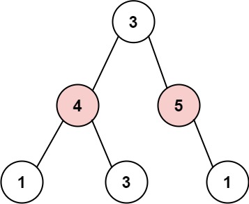
示例2:

输入: root = [3,4,5,1,3,null,1]
输出: 9
解释: 小偷一晚能够盗取的最高金额 4 + 5 = 9
动态规划
动规五部曲
-
确定dp数组(dp table)以及下标的含义
dp[i]:下标为0记录不偷该节点所得到的的最大金钱,下标为1记录偷该节点所得到的的最大金钱。dp数组长度为2。 -
确定递推公式
- 对于当前节点,有两种选择:
- 偷当前节点:那么左右孩子就不能偷,所以当前节点的最大金额为该节点金额cur.val + 左孩子不偷的最大金额 + 右孩子不偷的最大金额,即:val1 = cur.val + left[0] + right[0]
- 不偷当前节点:那么左右孩子就可以偷,但不是一定偷,所以应该选最大的,即:val2 = Math.max(left[0], left[1]) + Math.max(right[0], right[1])
- 最终,当前节点的最大金额为:{val2, val1}
- 对于当前节点,有两种选择:
-
dp数组如何初始化
dp[0] = nums[0]
dp[1] = Math.max(nums[0], nums[1]) -
确定遍历顺序
因为是从下往上计算的,所以采用后序遍历。 -
举例推导dp数组

1 | /** |
