Leetcode 96.不同的二叉搜索树
Leetcode 96.不同的二叉搜索树
题目要求
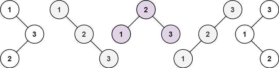
- 给你一个整数 n ,求恰由 n 个节点组成且节点值从 1 到 n 互不相同的 二叉搜索树 有多少种?返回满足题意的二叉搜索树的种数。
示例 1:

输入:n = 3
输出:5
示例 2:
输入:n = 1
输出:1
动态规划
动规五部曲
-
确定dp数组(dp table)以及下标的含义
dp[i]代表的是i个节点组成的二叉搜索树的种数 -
确定递推公式
假设给定i,那么根节点可以是1、2、3、…i
对于固定的根节点,左子树和右子树一共剩余i-1个数,假设左子树有j个节点,那么右子树就有i-1-j个节点
需要注意的是,节点个数为j的情况其实就是dp[j],虽然数值不一样,但是构造方式相同,因为所有数字都是互不相同的
所以对于每个根节点都有dp[j] * dp[i - 1 - j]种构造方式
因此递推公式为:dp[i] = dp[0] * dp[i - 1] + dp[1] * dp[i - 2] + … + dp[i - 1] * dp[0] -
dp数组如何初始化
dp[0] = 1(空树)
dp[1] = 1(只有一个节点的树) -
确定遍历顺序
i从2到n,j从0到i-1 -
举例推导dp数组
当n=10

1 | class Solution { |
