Leetcode 108.将有序数组转换成二叉搜索树
题目要求
- 给你一个整数数组 nums ,其中元素已经按 升序 排列,请你将其转换为一棵 平衡 二叉搜索树。
示例 1:

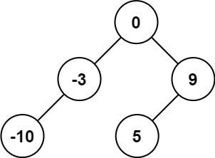
输入:nums = [-10,-3,0,5,9]
输出:[0,-3,9,-10,null,5]
解释:[0,-10,5,null,-3,null,9] 也将被视为正确答案:

示例 2:

输入:nums = [1,3]
输出:[3,1]
解释:[1,null,3] 和 [3,1] 都是高度平衡二叉搜索树。
递归法
因为原数组已经按升序排列了,所以只要每次将中间位置节点作为每个子树的根节点,就能保持平衡
1 2 3 4 5 6 7 8 9 10 11 12 13 14 15 16 17 18 19 20 21 22 23 24 25 26 27 28 29 30
|
class Solution { public TreeNode sortedArrayToBST(int[] nums) { if (nums.length == 0) return null; return traversal(nums, 0, nums.length - 1); } public TreeNode traversal(int[] nums, int start, int end) { if (start > end) return null; int mid = (start + end) / 2; TreeNode root = new TreeNode(nums[mid]); root.left = traversal(nums, start, mid - 1); root.right = traversal(nums, mid + 1, end); return root; } }
|