Leetcode 450.删除二叉搜索树中的节点
题目要求
示例 1:

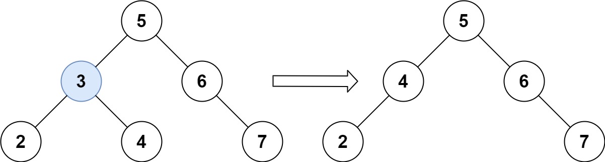
输入:root = [5,3,6,2,4,null,7], key = 3
输出:[5,4,6,2,null,null,7]
解释:给定需要删除的节点值是 3,所以我们首先找到 3 这个节点,然后删除它。
一个正确的答案是 [5,4,6,2,null,null,7], 如下图所示。
另一个正确答案是 [5,2,6,null,4,null,7]。
解释:另一个满足题目要求可以通过的树是:

示例 2:
输入: root = [5,3,6,2,4,null,7], key = 0
输出: [5,3,6,2,4,null,7]
解释: 二叉树不包含值为 0 的节点
示例 3:
输入: root = [], key = 0
输出: []
迭代寻找删除位置然后删除
1 2 3 4 5 6 7 8 9 10 11 12 13 14 15 16 17 18 19 20 21 22 23 24 25 26 27 28 29 30 31 32 33 34 35 36 37 38 39 40 41 42 43 44 45 46 47 48 49 50 51 52 53 54 55 56 57 58
| public TreeNode deleteNode(TreeNode root, int key) { TreeNode parent = null; TreeNode current = root; while (current != null && current.val != key) { parent = current; if (key < current.val) { current = current.left; } else { current = current.right; } } if (current == null) return root; if (current.left == null || current.right == null) { TreeNode newNode = (current.left != null) ? current.left : current.right; if (parent == null) { return newNode; } if (parent.left == current) { parent.left = newNode; } else { parent.right = newNode; } } else { TreeNode successorParent = current; TreeNode successor = current.right; while (successor.left != null) { successorParent = successor; successor = successor.left; } if (successorParent != current) { successorParent.left = successor.right; successor.right = current.right; } successor.left = current.left; if (parent == null) { root = successor; } else if (parent.left == current) { parent.left = successor; } else { parent.right = successor; } } return root; }
|
递归法
前序遍历删除节点,返回新的根节点。
1 2 3 4 5 6 7 8 9 10 11 12 13 14 15 16 17 18 19 20 21 22 23 24 25 26 27 28 29 30 31 32 33 34 35 36 37 38
|
class Solution { public TreeNode deleteNode(TreeNode root, int key) { if (root == null) return root; if (root.val == key) { if (root.left == null){ return root.right; } else if (root.right == null) { return root.left; } else { TreeNode temp = root.right; while (temp.left != null) { temp = temp.left; } temp.left = root.left; root = root.right; return root; } } if (root.val > key) root.left = deleteNode(root.left, key); if (root.val < key) root.right = deleteNode(root.right, key); return root; } }
|