Leetcode 530.二叉搜索树的最小绝对差值
Leetcode 530.二叉搜索树的最小绝对差值
题目要求
-
给你一个二叉搜索树的根节点 root ,返回 树中任意两不同节点值之间的最小差值 。
-
差值是一个正数,其数值等于两值之差的绝对值。
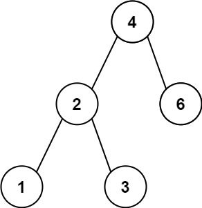
示例 1:

输入:root = [4,2,6,1,3]
输出:1
示例 2:

输入:root = [1,0,48,null,null,12,49]
输出:1
双指针
1 | /** |
给你一个二叉搜索树的根节点 root ,返回 树中任意两不同节点值之间的最小差值 。
差值是一个正数,其数值等于两值之差的绝对值。
示例 1:

输入:root = [4,2,6,1,3]
输出:1
示例 2:

输入:root = [1,0,48,null,null,12,49]
输出:1
1 | /** |