Leetcode 206.反转链表
题目要求
- 给你单链表的头节点 head ,请你反转链表,并返回反转后的链表。
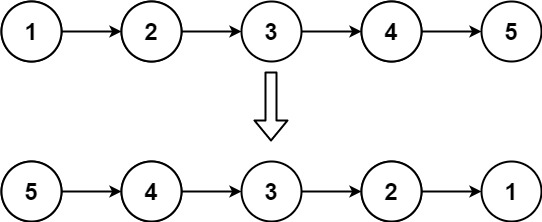
示例 1:

输入:head = [1,2,3,4,5]
输出:[5,4,3,2,1]
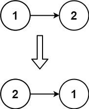
示例 2:

输入:head = [1,2]
输出:[2,1]
示例 3:
输入:head = []
输出:[]
提交
双指针法
1 2 3 4 5 6 7 8 9 10 11 12 13 14 15 16 17 18 19 20 21 22 23 24
|
class Solution { public ListNode reverseList(ListNode head) { ListNode prev = null; ListNode cur = head; ListNode temp = null; while (cur != null) { temp = cur.next; cur.next = prev; prev = cur; cur = temp; } return prev; } }
|
递归
1 2 3 4 5 6 7 8 9 10 11 12 13 14 15 16 17 18
| class Solution { public ListNode reverseList(ListNode head) { return reverse(null, head); }
private ListNode reverse(ListNode prev, ListNode cur) { if (cur == null) { return prev; } ListNode temp = null; temp = cur.next; cur.next = prev; return reverse(cur, temp); } }
|